Sample Letter Of Intent For Hmo Accreditation

Https Bluekcmemberportal Azureedge Net Consumer Pdfs Sampleplans Sample Bluecare Ks Pdf

Https Bluekcmemberportal Azureedge Net Consumer Pdfs Sampleplans Sample Bluecare Ks Pdf

Follow Up Letter Template 14 Free Sample Example Format Download Free Premium Templates

Follow Up Letter Template 14 Free Sample Example Format Download Free Premium Templates

Follow Up Letter Template 14 Free Sample Example Format Download Free Premium Templates

Follow Up Letter Template 14 Free Sample Example Format Download Free Premium Templates

Neinvazivni Prenatalni Testovi Temeljeni Na Genomici Za Otkrivanje Fetalne Kromosomske Aneuploidije U Trudnica Badeau M 2017 Cochrane Library

Neinvazivni Prenatalni Testovi Temeljeni Na Genomici Za Otkrivanje Fetalne Kromosomske Aneuploidije U Trudnica Badeau M 2017 Cochrane Library

Https Www Who Int Goe Policies Countries Kwt Support Pdf Ua 1

Https Www Who Int Goe Policies Countries Kwt Support Pdf Ua 1

Pdf The Influence Of Context On Quality Improvement Success In Health Care A Systematic Review Of The Literature

Pdf The Influence Of Context On Quality Improvement Success In Health Care A Systematic Review Of The Literature

6 A Quality Assurance Sampler Methods Data And Resources Medicare A Strategy For Quality Assurance Volume Ii Sources And Methods The National Academies Press

6 A Quality Assurance Sampler Methods Data And Resources Medicare A Strategy For Quality Assurance Volume Ii Sources And Methods The National Academies Press

Http Www Euro Who Int Data Assets Pdf File 0004 121837 E89278 Pdf

Http Www Euro Who Int Data Assets Pdf File 0004 121837 E89278 Pdf

Pdf Global Summit Of National Ethics Committees An Essential Tool For International Dialogue And Consensus Building

Pdf Global Summit Of National Ethics Committees An Essential Tool For International Dialogue And Consensus Building

Pdf Health Information Technology Adoption In U S Acute Care Hospitals

Pdf Health Information Technology Adoption In U S Acute Care Hospitals

Https Www11 Anthem Com Ca Provider F1 S0 T0 Pw B134117 Pdf Refer Provider

Https Www11 Anthem Com Ca Provider F1 S0 T0 Pw B134117 Pdf Refer Provider

Https Www Dol Gov Sites Dolgov Files Ebsa Laws And Regulations Rules And Regulations Public Comments 1210 Ab45 00030 Pdf

Https Www Dol Gov Sites Dolgov Files Ebsa Laws And Regulations Rules And Regulations Public Comments 1210 Ab45 00030 Pdf

Https Www Naic Org Store Free Mdl 430 Pdf

Https Www Naic Org Store Free Mdl 430 Pdf

6 A Quality Assurance Sampler Methods Data And Resources Medicare A Strategy For Quality Assurance Volume Ii Sources And Methods The National Academies Press

6 A Quality Assurance Sampler Methods Data And Resources Medicare A Strategy For Quality Assurance Volume Ii Sources And Methods The National Academies Press

Https Pps Org Ph Wp Content Uploads 2018 04 Pps Ahmopi Moa The Presentation 1 Pdf

Https Pps Org Ph Wp Content Uploads 2018 04 Pps Ahmopi Moa The Presentation 1 Pdf

6 A Quality Assurance Sampler Methods Data And Resources Medicare A Strategy For Quality Assurance Volume Ii Sources And Methods The National Academies Press

6 A Quality Assurance Sampler Methods Data And Resources Medicare A Strategy For Quality Assurance Volume Ii Sources And Methods The National Academies Press

Dsdc4hmbmvbyzm

Dsdc4hmbmvbyzm

Letter Of Intent Loi Template Sample Free Pdf Example Legal Templates

Letter Of Intent Loi Template Sample Free Pdf Example Legal Templates

Fortunecare

Fortunecare

Follow Up Letter Template 14 Free Sample Example Format Download Free Premium Templates

Follow Up Letter Template 14 Free Sample Example Format Download Free Premium Templates

Federal Register Patient Protection And Affordable Care Act Hhs Notice Of Benefit And Payment Parameters For 2015

Federal Register Patient Protection And Affordable Care Act Hhs Notice Of Benefit And Payment Parameters For 2015

Pdf Program Accreditation And Correctional Treatment

Pdf Program Accreditation And Correctional Treatment

Free 16 Sample Endorsement Letter Samples Templates In Pdf Ms Word

Free 16 Sample Endorsement Letter Samples Templates In Pdf Ms Word

25 Letter Templates Pdf Doc Excel Free Premium Templates

25 Letter Templates Pdf Doc Excel Free Premium Templates

Post Traumatic Stress Disorder Part Iii Innovations In Cbt For Childhood Anxiety Ocd And Ptsd

Post Traumatic Stress Disorder Part Iii Innovations In Cbt For Childhood Anxiety Ocd And Ptsd

Balete Labor Market Information System Ordinance International Labour Organization Employment

Balete Labor Market Information System Ordinance International Labour Organization Employment

Https Www Myhpnstateofnevada Com Media Files Myhpnstateofnv Pdf Plan Documents State Of Nv Alt Member Kit 070117 Ashx La En

Https Www Myhpnstateofnevada Com Media Files Myhpnstateofnv Pdf Plan Documents State Of Nv Alt Member Kit 070117 Ashx La En

Letter Of Intent

Letter Of Intent

Best Healthcare Cover Letter Examples Livecareer

Best Healthcare Cover Letter Examples Livecareer

2

2

Ethical And Policy Issues In Research Involving Human Participants Volume I

Ethical And Policy Issues In Research Involving Human Participants Volume I

Http Documents Worldbank Org Curated Pt 297041468771625848 Pdf Multi0page Pdf

Http Documents Worldbank Org Curated Pt 297041468771625848 Pdf Multi0page Pdf

Https Www Avmed Org Documents 23384 2506154 Large Group Hmo Contract Pdf 15d50ddf E727 476c 9585 639a4ec909cb

Https Www Avmed Org Documents 23384 2506154 Large Group Hmo Contract Pdf 15d50ddf E727 476c 9585 639a4ec909cb

2

2

Https Www Anthem Com Provider Nv F5 S1 T0 Pw E245632 Pdf Refer Ahpprovider

Https Www Anthem Com Provider Nv F5 S1 T0 Pw E245632 Pdf Refer Ahpprovider

Sample Medical School Letter Of Intent How To Write A Stellar Letter

Sample Medical School Letter Of Intent How To Write A Stellar Letter

Letter Of Intent

Letter Of Intent

Psychosomatic Medicine And Consultation Liaison Psychiatry In The United States Springerlink

Psychosomatic Medicine And Consultation Liaison Psychiatry In The United States Springerlink

Https Encrypted Tbn0 Gstatic Com Images Q Tbn And9gcradjwqnsl2 Aqnegfemqvp7o8q6uvngrogtbkszp0kqp5etjnc Usqp Cau

Https Encrypted Tbn0 Gstatic Com Images Q Tbn And9gcradjwqnsl2 Aqnegfemqvp7o8q6uvngrogtbkszp0kqp5etjnc Usqp Cau

Free 7 Letter Of Intent Medical School In Pdf

Free 7 Letter Of Intent Medical School In Pdf

Http Www Aetna Com Individuals Families Health Insurance Document Library Documents Hmo California Disclosure Pdf

Http Www Aetna Com Individuals Families Health Insurance Document Library Documents Hmo California Disclosure Pdf

Http Www Healthsac Net Downloads Publications Systematic Review Of Systems Of Palliative Care Pdf

Http Www Healthsac Net Downloads Publications Systematic Review Of Systems Of Palliative Care Pdf

Https Www Uhc Com Content Dam Uhcdotcom En Employers Pdf Ripledgecoc Pdf

Https Www Uhc Com Content Dam Uhcdotcom En Employers Pdf Ripledgecoc Pdf

Does Capitation Payment Under National Health Insurance Affect Subscribers Trust In Their Primary Care Provider A Cross Sectional Survey Of Insurance Subscribers In Ghana Topic Of Research Paper In Economics And Business

Does Capitation Payment Under National Health Insurance Affect Subscribers Trust In Their Primary Care Provider A Cross Sectional Survey Of Insurance Subscribers In Ghana Topic Of Research Paper In Economics And Business

6 A Quality Assurance Sampler Methods Data And Resources Medicare A Strategy For Quality Assurance Volume Ii Sources And Methods The National Academies Press

6 A Quality Assurance Sampler Methods Data And Resources Medicare A Strategy For Quality Assurance Volume Ii Sources And Methods The National Academies Press

2

2

Parallax Health Sciences Inc 2018 Annual Report 10 K A

Parallax Health Sciences Inc 2018 Annual Report 10 K A

Nhis Operational Guidelines Defence Health Maintenance Ltd

Nhis Operational Guidelines Defence Health Maintenance Ltd

10 Online Ideas Contract Template Online Personal Loans

10 Online Ideas Contract Template Online Personal Loans

2

2

2

2

Psychosomatic Medicine And Consultation Liaison Psychiatry In The United States Springerlink

Psychosomatic Medicine And Consultation Liaison Psychiatry In The United States Springerlink

Https Www Hap Org Media Files Hap Medicare 2020 2020 Eoc Hap Choice Medicare Option 1 Pdf La En Hash Ec184effa9da0cd66b1c0ab803fc04cc

Https Www Hap Org Media Files Hap Medicare 2020 2020 Eoc Hap Choice Medicare Option 1 Pdf La En Hash Ec184effa9da0cd66b1c0ab803fc04cc

Https Rhrc Umn Edu Wp Content Uploads 2017 11 Workingpaper027 Pdf

Https Rhrc Umn Edu Wp Content Uploads 2017 11 Workingpaper027 Pdf

Free 7 Letter Of Intent Medical School In Pdf

Free 7 Letter Of Intent Medical School In Pdf

Pdf Hospital Report Cards Intent Impact And Illusion

Pdf Hospital Report Cards Intent Impact And Illusion

2

2

Board Resolution Template Free 100 Images Directors Resolution South Africa Templates Agreements Loi Bg500 Board Resolutions Templates Biztree Com Board Resolution Of Account Opening Free Nine To Five Premium Wordpress

Board Resolution Template Free 100 Images Directors Resolution South Africa Templates Agreements Loi Bg500 Board Resolutions Templates Biztree Com Board Resolution Of Account Opening Free Nine To Five Premium Wordpress

Letter Of Intent For Accreditation Doc Template Pdffiller

Letter Of Intent For Accreditation Doc Template Pdffiller

Fortunecare

Fortunecare

Parallax Health Sciences Inc 2018 Annual Report 10 K A

Parallax Health Sciences Inc 2018 Annual Report 10 K A

Free 7 Letter Of Intent Medical School In Pdf

Free 7 Letter Of Intent Medical School In Pdf

Https Www Accp Com Docs Positions Whitepapers Econevalclinpharmsvcsfinalkjsedit Gts Pdf

Https Www Accp Com Docs Positions Whitepapers Econevalclinpharmsvcsfinalkjsedit Gts Pdf

Https Www Chinabank Ph Pdf 2017 03 17 Chibpsedisclosure Chib Preliminary Sec 20 Is Ye2016 Pdf

Https Www Chinabank Ph Pdf 2017 03 17 Chibpsedisclosure Chib Preliminary Sec 20 Is Ye2016 Pdf

Letter Of Intent Form Supplemental Security Income Marriage

Letter Of Intent Form Supplemental Security Income Marriage

Pdf Challenges In Provider Payment Under The Ghana National Health Insurance Scheme A Case Study Of Claims Management In Two Districts

Pdf Challenges In Provider Payment Under The Ghana National Health Insurance Scheme A Case Study Of Claims Management In Two Districts

Federal Register Patient Protection And Affordable Care Act Hhs Notice Of Benefit And Payment Parameters For 2015

Federal Register Patient Protection And Affordable Care Act Hhs Notice Of Benefit And Payment Parameters For 2015

Interventions For Patients Providers And Health Care Organizations Zapka 2004 Cancer Wiley Online Library

Interventions For Patients Providers And Health Care Organizations Zapka 2004 Cancer Wiley Online Library

Https Www Philhealth Gov Ph About Us Uhc Irr Signed Pdf

Https Www Philhealth Gov Ph About Us Uhc Irr Signed Pdf

Abptrfe Evaluative Criteria2013

Abptrfe Evaluative Criteria2013

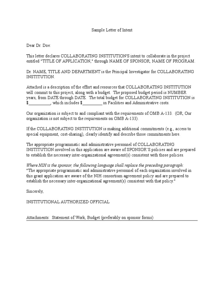
Sample Letter Of Intent

Sample Letter Of Intent

3

3

26 Sample Endorsement Letters Writing Letters Formats Examples

26 Sample Endorsement Letters Writing Letters Formats Examples

Https Www Insurance Gov Ph Wp Content Uploads 2018 02 Cl2018 03 Pdf

Https Www Insurance Gov Ph Wp Content Uploads 2018 02 Cl2018 03 Pdf

Loi Doc Government

Loi Doc Government

Http Www Imq Org Linkclick Aspx Fileticket Xss Wiifzgg 3d Portalid 23

Http Www Imq Org Linkclick Aspx Fileticket Xss Wiifzgg 3d Portalid 23

Letter Of Intent For Accreditation Government Politics

Letter Of Intent For Accreditation Government Politics

Advance Notice Of Intent To File Emergency Regulations California

Advance Notice Of Intent To File Emergency Regulations California

Federal Register Patient Protection And Affordable Care Act Hhs Notice Of Benefit And Payment Parameters For 2015

Federal Register Patient Protection And Affordable Care Act Hhs Notice Of Benefit And Payment Parameters For 2015

Http Documents Worldbank Org Curated En 487821468758149918 Pdf Multi0page Pdf

Http Documents Worldbank Org Curated En 487821468758149918 Pdf Multi0page Pdf

Free 7 Letter Of Intent Medical School In Pdf

Free 7 Letter Of Intent Medical School In Pdf

Https Encrypted Tbn0 Gstatic Com Images Q Tbn And9gcradjwqnsl2 Aqnegfemqvp7o8q6uvngrogtbkszp0kqp5etjnc Usqp Cau

Https Encrypted Tbn0 Gstatic Com Images Q Tbn And9gcradjwqnsl2 Aqnegfemqvp7o8q6uvngrogtbkszp0kqp5etjnc Usqp Cau

Sample Letter Of Intent Texas Health And Human Services

Sample Letter Of Intent Texas Health And Human Services

2

2

Prevention And Treatment Part Iv The Cambridge Handbook Of Substance And Behavioral Addictions

Prevention And Treatment Part Iv The Cambridge Handbook Of Substance And Behavioral Addictions

Free 16 Sample Endorsement Letter Samples Templates In Pdf Ms Word

Free 16 Sample Endorsement Letter Samples Templates In Pdf Ms Word

Ethical And Policy Issues In Research Involving Human Participants Volume I

Ethical And Policy Issues In Research Involving Human Participants Volume I

6 A Quality Assurance Sampler Methods Data And Resources Medicare A Strategy For Quality Assurance Volume Ii Sources And Methods The National Academies Press

6 A Quality Assurance Sampler Methods Data And Resources Medicare A Strategy For Quality Assurance Volume Ii Sources And Methods The National Academies Press

Https Www Philhealth Gov Ph About Us Uhc Irr Signed Pdf

Https Www Philhealth Gov Ph About Us Uhc Irr Signed Pdf

Free 7 Letter Of Intent Medical School In Pdf

Free 7 Letter Of Intent Medical School In Pdf

Letter Of Intent For Accreditation Doc Template Pdffiller

Letter Of Intent For Accreditation Doc Template Pdffiller

United States United States Financial Sector Assessment Program Detailed Assessment Of Observance On The Insurance Core Principles

United States United States Financial Sector Assessment Program Detailed Assessment Of Observance On The Insurance Core Principles

2

2

25 Letter Templates Pdf Doc Excel Free Premium Templates

25 Letter Templates Pdf Doc Excel Free Premium Templates

Sample Letter Of Intent

Sample Letter Of Intent

2

2

Letter Of Intent For Accreditation Doc Template Pdffiller

Letter Of Intent For Accreditation Doc Template Pdffiller

Https Www Bcbstx Com Pdf Policy Forms Eoc Individual On Sample Tx Pdf

Https Www Bcbstx Com Pdf Policy Forms Eoc Individual On Sample Tx Pdf

Https Www Insurance Gov Ph Wp Content Uploads 2017 07 Cl2017 19 Pdf

Https Www Insurance Gov Ph Wp Content Uploads 2017 07 Cl2017 19 Pdf

United States United States Financial Sector Assessment Program Detailed Assessment Of Observance On The Insurance Core Principles

United States United States Financial Sector Assessment Program Detailed Assessment Of Observance On The Insurance Core Principles

Https Www Health Pa Gov Topics Documents Laws 20and 20regulations Preamble 20to 20the 20mco 20regulations Pdf

Https Www Health Pa Gov Topics Documents Laws 20and 20regulations Preamble 20to 20the 20mco 20regulations Pdf

Https Www Hastings Gov Uk Content Housing Improvement Houses Multiple Occupation Pdfs Additional Licensing Hmo

Https Www Hastings Gov Uk Content Housing Improvement Houses Multiple Occupation Pdfs Additional Licensing Hmo

United States United States Financial Sector Assessment Program Detailed Assessment Of Observance On The Insurance Core Principles

United States United States Financial Sector Assessment Program Detailed Assessment Of Observance On The Insurance Core Principles

3

3